Our Soil Carbon Baseline

We welcomed a team of researchers from Skidmore College to the farm last summer. The team is collecting soil samples from Hudson Valley farms to develop a model that will allow them to monitor soil carbon from satellite imagery, also known as “remote sensing.” The team collected samples from 153 locations over 120.4 acres on the farm. At each location, the team took two samples: one that contained soil from 0-15cm below the surface, and a second sample from 15-30cm below the surface. If you’re interested in their detailed analysis of the data, I recommend you read their research summary. Otherwise, carry on reading for my take on how this data informs our land management.

Soil Carbon: A Climate Solution

You may remember the carbon cycle from an early science class. Carbon is always moving between the atmosphere and various carbon sinks (such as forests, oceans, living organisms, and even as fossil fuels), but the sum of all carbon on our planet is always the same [1]. Climate change caused by human activity has removed carbon from these storage areas and released it into the atmosphere [2].

Industrial agriculture, which is how most food in America is produced, is rightfully accused of contributing to this problem. Industrial agriculture relies heavily on soil tillage and pesticide applications. The soil is a living system: microbes and fungi and beneficial insects and plant roots are all interacting with each other and exchanging nutrients. The combination of frequent tillage and heavy pesticide use is pretty destructive to this system, and the carbon stored in that soil is gradually released back into the atmosphere. Modern industrial agriculture was a substantial technological achievement that helped feed a rapidly growing population, but at a massive environmental expense. There is no such thing as a free lunch.

Soil carbon, especially within agricultural land, has gained a lot of attention lately as a potential approach to mitigating climate change. Can we undo the environmental degradation caused by modern agriculture and rebuild healthy soil systems that draw carbon out of the atmosphere and store it in the soil?

Measuring The Carbon In Our Soil

The Skidmore team collected soil samples from the most active parts of the farm: our orchards, berry patches, annual crop fields, and adjacent vacant pastureland. They measured a mean value of 1.66% carbon at depths 0-15cm, a mean value of 1.17% carbon at depths 15-30cm, and an overall mean value of 1.39% carbon. The distribution of the results is shown below in Figure 1.

Figure 1: Histogram of data across sampled soil depths, provided by the Skidmore team.

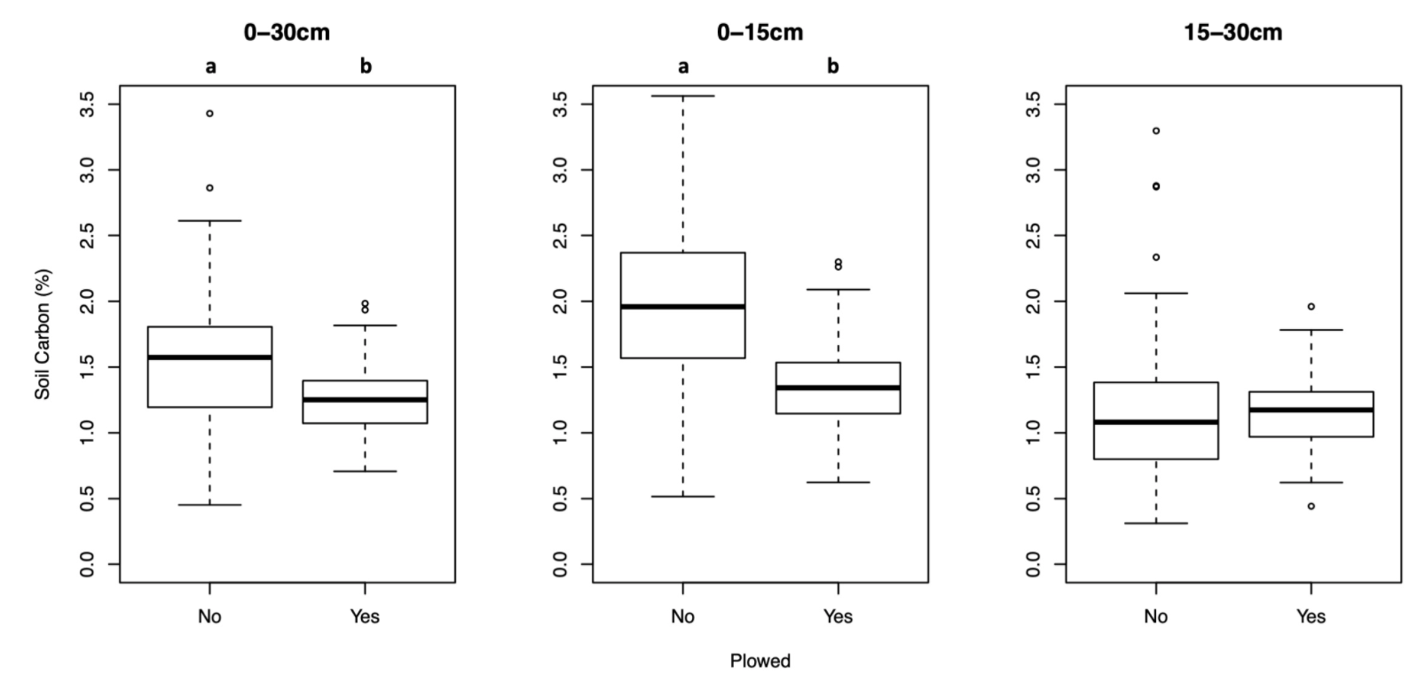
The team then compared no-till (or minimum tillage) locations with the locations where we till the soil more frequently to rotate crops, shown below in Figure 2. As suggested earlier, no-till locations showed a higher overall carbon value, especially in the shallower 0-15cm depths. The 15-30cm values showed slightly higher carbon levels in the tilled locations, though the finding was not statistically significant. This may be an unexpected result, but I think it highlights the importance of considering all of the factors that might influence soil carbon. Many no-till locations are in our blueberry patch, where the soil is sandier further down. Sandy soil can’t store as much as other denser soil types [3]. So, the no-till vs. till comparison done on our fields isn’t totally an apples-to-apples comparison because it does not control for soil types.

Figure 2: Bloxplots of percent carbon by plowing across soil depths, provided by the Skidmore team.

Finally, the Skidmore team segmented the results by the groundcover or current crop, as shown below in Figure 3. This illustrates the blueberry observation very clearly. The oldest sections of our blueberry patch are now over 50 years old. We occasionally rototill the top few inches of the patch, but obviously the patch hasn’t had full inversion tillage in decades. As a result, the blueberry patch is one of the top performers in the shallow sampling depth, second only to our vacant pasture land that is labeled as ‘Tallgrass.’ However, because of the sandy soils at lower depths below the blueberries, the blueberries are the worst performing group at the 15-30cm level. As far as I know, the theoretical carbon-storing capacity of soil, and more specifically of different soil types, is still an open research question. I suspect the soil carbon in our blueberry patch may already be near its theoretical maximum and that there are few adjustments that we could make to how we manage our blueberry patch that would substantially move the needle.

The greatest opportunity to increase our soil carbon is, of course, in the worst-performing areas. The sampling locations in our strawberry patch, asparagus field, and fields with cover crop or grass cover, are all in areas that are more frequently tilled. The carbon values in these areas are all only slightly greater than 1%, despite being in denser soil types than our blueberry patch. In the following section, I’ll outline some changes we’re making to the farm that we anticipate will contribute to an increase in soil carbon, along with other environmental benefits.

Figure 3: Bloxplots of percent carbon by ground cover across soil depths, provided by the Skidmore team.

Increasing Our Soil Carbon

Much of the regenerative agriculture buzz is about soil carbon. The soil is a living system, and farms that practice regenerative agriculture understand that the health of the ecosystem below the soil is as important as the ecosystem above the soil. Soil health (and soil carbon concentration) is built by applying a few simple principles: (1) reducing soil disturbance and tillage, (2) keeping the ground covered, (3) maximizing plant diversity, and (4) integrating livestock.

This year, we’re making a few changes to the farm inline with these principles:

  1. Integrating our neighbor’s cattle: We aren’t quite ready to take on the added program of caring for cattle ourselves. Instead, we’ve partnered with our neighbors at Gulden Farm. Farm owners Kyle and Amanda visited our farm last fall to fence off about ten acres of pasture. This spring, they’ll drop off a small herd of cattle and keep them on the farm for the season. Cattle play an important role in building soil carbon. Their grazing causes grass to grow deeper roots, which transfers more carbon into the soil.

  2. Eliminating herbicides in the apple orchard: We’ve experimented over the years with different ways of reducing or eliminating our apple spray program. The trees currently in our orchard were all planted between the 1970s and 1990s and so we have none of the more disease resistant cultivars that have recently been developed. The largest problem we have in the Hudson Valley is fungus: the climate here is humid and our varieties are all susceptible to various fungal diseases. Fungicides make up the majority of our spray program and are necessary to produce “market-quality” blemish-free apples. Ultimately, we hope to wean ourselves off of fungicides and focus on marketing that redefines what a beautiful apple looks like. In the meantime, cutting herbicides is an easy decision. We’ve used herbicides to manage rampant poison ivy. This can also be controlled by frequent mowing or through managed grazing.

  3. Pastured pigs and silvopasture: We spent some time this winter building a permanent pasture for a small drove of pigs. This pasture will serve as the ‘hub’ in a hub-and-spoke pasturing system. We plan to rotationally graze these pigs through three neighboring areas: open cropland, a dense woodlot, and in the apple orchard. In each of these areas, the pigs will provide ecosystem services. In the cropland, they’ll provide fertilizer. In the woodlot, they’ll help clear the land of dense low-lying brush, gradually transforming this area to usable pasture space. And in the orchard, where we will graze them at the tail-end of our apple season, they will clear the orchard floor of any apples that have fallen from the trees. This is an important part of orchard management as fallen apples are breeding grounds for pests, so clearing the floor helps reduce pest pressure in future seasons. By grazing the pigs through the orchard, the pigs will get a free (and tasty) feed source, while they help us prepare the orchard for next year.

  4. Multispecies cover crops: We’ve historically used a limited range of cover crops, clover and sudex being two of our go-to options. Each cover crop option provides different benefits including weed suppression, nitrogen fixation, soil aeration, and nutrient-dense forage for livestock. This year, we’ve agreed to experiment with different concoctions of cover crops, depending on the field’s needs. Planting a more diverse cover crop helps encourage microbial activity in the soil and provides habitat for more beneficial insects.

Continuous, Gradual Improvement

While soil carbon can be released rapidly by poor management, it takes years of good land management to build. We’re always seeking opportunities to improve the environmental impact of our farming practices. We believe that what’s measured can be managed, and we hope to continue to collaborate with researchers to quantify our environmental impact.

References

[1] US Department of Commerce, National Oceanic and Atmospheric Administration, “What is the carbon cycle?,” Noaa.gov, Apr. 04, 2019. https://oceanservice.noaa.gov/facts/carbon-cycle.html (accessed Jan. 12, 2022).

[2] NASA, “The Causes of Climate Change,” Climate Change: Vital Signs of the Planet, Aug. 08, 2018. https://climate.nasa.gov/causes/ (accessed Jan. 12, 2022).

[3] A. Sawyer, “Compost and soil organic matter: The more, the merrier?,” extension.umn.edu, Apr. 08, 2021. https://extension.umn.edu/yard-and-garden-news/compost-and-soil-organic-matter-more-merrier (accessed Jan. 12, 2022).